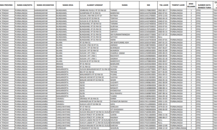
REKAP BANTUAN SOSIAL PROVINSI PER DESAPosted by Dinkominfo | May 23, 2020 | Pengumuman | 0 | Berikut Data Rekap Bantuan Sosial Provinsi Per Desa dapat dilihat disini